|
广东省人民政府
|
繁体版
|
移动版
|
无障碍阅读
|
长者助手
|
网站支持IPv6
搜索
首页
要闻动态
政务公开
政务服务
互动交流
魅力湛江
营商环境
首页
>
政务公开
>
重点领域信息公开
>
财政预算决算和“三公”经费公开
>
部门预决算
>
部门预算
>
2016
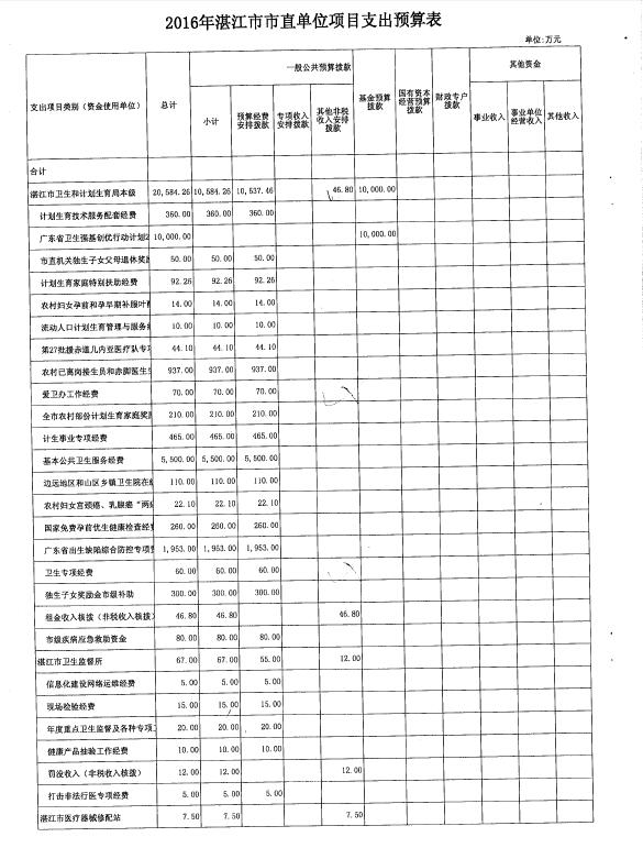
关于批复2016年度市本级部门预算的通知
时间:2016-07-22 09:39:41
来源:市卫计局规财科
【打印】
【字体:
大
中
小
】
分享到:
相关文章
【打印本页】
【关闭窗口】
您访问的链接即将离开“湛江市人民政府门户网站”,是否继续?
继续访问
放弃